Прессиометрические и штамповые испытания лондонской глины. Часть 2. Сравнение результатов — ГеоИнфо — метапортал для инженеров
Реклама
  • Реклама, 0+. ООО «ИнжПроектСтрой» ИНН 5902163884
  • erid: 2vfnxvifrnd
Баннер MalininSoft правая колонка Баннер MalininSoft правая колонка
Реклама
  • Реклама, 0+. АО «Мостдоргеотрест» ИНН 7716750744
  • erid: 2vfnxwa1cem
Баннер МОСТДОРГЕОТРЕСТ правая колонка Баннер МОСТДОРГЕОТРЕСТ правая колонка

Прессиометрические и штамповые испытания лондонской глины. Часть 2. Сравнение результатов

Прессиометрические и штамповые испытания лондонской глины. Часть 2. Сравнение результатов
Аналитическая служба «ГеоИнфо»
Аналитическая служба «ГеоИнфо»
Издатель журнала «ГеоИнфо», главный редактор портала geoinfo.ru
Бершов Алексей Викторович
Бершов Алексей Викторович
генеральный директор ГК «ПЕТРОМОДЕЛИНГ», преподаватель кафедры инженерной геологии Геологического факультета МГУ имени М.В. Ломоносова
ООО «ПЕТРОМОДЕЛИНГ»
ООО «ПЕТРОМОДЕЛИНГ»
Генеральный спонсор «ГеоИнфо»

При поддержке ГК "ПетроМоделинг", партнера журнала "ГеоИнфо", редакция начинает знакомство читателей с методами оценки напряженно-деформированного состояния массива грунтов с целью перехода к трехмерному моделированию геологической среды и построению инженерных цифровых моделей геологической среды как базовой части информационной цифровой модели объекта капитального строительства, без которой любые информационные проектные построения просто "повисают в воздухе".

Начнем с рассмотрения прессиометрических испытаний грунтов, которые на сегодняшний день большинством изыскателей и проектировщиков воспринимаются как "более дешевая и простая альтернатива штамповых испытаний". На деле данная технология является уникальным методом испытаний грунтов в массиве. Она используется для определения как действующих горизонтальных напряжений и коэффициента К0 (без которого, как известно, невозможны оценка начального (природного) состояния геологической среды и дальнейшие расчетные обоснования конструкций), так и физико-механических откликов геологической среды на горизонтальное механическое воздействие. Например, таких как зависимость между напряжениями и деформациями и недренированная прочность.

В первых двух публикациях представлен подробный обзор материалов статьи А. Марслэнда и М.Ф. Рэндольфа (сотрудников Научно-исследовательского института по строительству Департамента по вопросам окружающей среды Великобритании) "Сравнение результатов прессиометрических испытаний и крупномасштабных полевых штамповых испытаний лондонской глины" [1]. Эта большая работа вышла в журнале Geotechnique ("Геотехника") еще в 1977 году, но до сих пор представляет интерес для инженеров-геологов, использующих в своих исследованиях прессиометрические и штамповые испытания грунтов.

Во второй части статьи [2] Марслэнд и Рэндольф описали серию полевых испытаний в полутвердой трещиноватой лондонской глине, то есть когда тип и структура грунта влияют на способ интерпретации результатов прессиометрических тестов. Они сравнили результаты испытаний прессиометром (типа Менарда) с диаметром зонда 60 мм и испытаний штампом диаметром 865 мм в скважинах диаметром 900 мм на глубинах до 25 м.

Прессиометрические тесты дали более высокие значения прочности на сдвиг, чем штамповые испытания. Однако соотношение между величинами прочности, найденными этими двумя методами, зависело от метода интерпретации, горизонтальных напряжений in situ, а также от характера, структуры и толщины слоя глины относительно размера зонда. Наиболее приемлемые значения, определенные по данным прессиометрических испытаний, получились при использовании упругопластического анализа на основе достаточно достоверных оценок предельных давлений и горизонтальных давлений in situ. Но для проектирования фундаментов Марслэнд и Рэндольф решили уменьшить эти значения с помощью коэффициентов, зависящих в основном от характера и расстояния между трещинами в глине и в меньшей степени от эффективных нормальных напряжений. Они определили, что для трещиноватой лондонской глины этот снижающий коэффициент увеличивается от 1,1 вблизи поверхности до примерно 2,2 на глубине 24 м.

Авторы работы [2] также обратили внимание, что значения прочности на сдвиг, определенные с помощью кривых "напряжение - деформация", получились значительно выше, чем найденные по предельным давлениям. Модули, полученные на основе прессиометрических испытаний, оказались значительно ниже таковых на основе крупномасштабных штамповых испытаний in situ. Однако Марслэнд и Рэндольф сочли, что при проектирования фундаментов могут быть использованы значения, определенные по циклам повторного нагружения. Они также указали на опасность использования корреляций между результатами различных типов мелкомасштабных полевых или лабораторных испытаний.

По мнению Марслэнда и Рэндольфа, диаметр штампа 865 мм был достаточен для того, чтобы учесть влияние структуры исследованного грунта и, таким образом, дать значения модуля сдвига грунта и его прочности на сдвиг, которые подходят для проектирования фундаментов в лондонской глине. Они сделали вывод, что измеренная таким образом прочность грунта будет компромиссом между высокой прочностью неповрежденных блоков глины и низкой прочностью этого грунта вдоль плоскостей трещин.

РАСПОЛОЖЕНИЕ ПЛОЩАДКИ ИСПЫТАНИЙ И СВОЙСТВА СЛАГАЮЩЕГО ЕЕ ГРУНТА

Марслэндом и Рэндольфом [2] были проведены испытания недалеко от края поймы реки Брент в микрорайоне Хендон примерно в 10 км к северо-западу от центральной части столицы Великобритании. Указанная площадка сложена лондонской глиной начиная с самой поверхности и до большой глубины. Верхние 25 м данного грунта содержат 55–60% частиц диаметром менее 2 мкм. Предел его текучести находится в диапазоне 60–80%, а содержание влаги приблизительно равно пределу пластичности, который колеблется от 30% вблизи поверхности до 26% на глубине 25 м.

До глубины 9 м эта глина является выветрелой до коричневого цвета и состоит из твердых комков в мягком глиняном заполнителе. Вблизи поверхности комки имеют размеры всего в несколько миллиметров и хорошо отделены друг от друга, но с глубиной они постепенно увеличиваются до 6–50 мм на уровне 9 м от поверхности (здесь мягкой глины достаточно только для того, чтобы обеспечить небольшую адгезию между комками).

Грунт глубже 9 м – это уже полутвердая сильно трещиноватая серо-голубая глина, которая легко разделяется по трещинам на блоки. Расстояние между трещинами увеличивается от 6–50 мм на глубине 9 м до 75–325 мм на глубине 25 м. Они наклонены под всеми углами, но имеется тенденция к преобладанию почти вертикальных и почти горизонтальных трещин, особенно на самых глубоких уровнях.

Глубже примерно 15 м из стенок ствола скважины через несколько часов после бурения просачивалось небольшое количество воды. Ниже этого уровня на некоторых горизонтальных поверхностях напластования глины были обнаружены следы ила и мелкого песка, особенно на глубинах 17–22 м. Уровни воды, измеренные с помощью пьезометров (типа Касагранде), установленных до глубин 12 и 24 м, дали равновесные пьезометрические уровни примерно на 1 м ниже поверхности земли.

ИСПЫТАНИЯ В СКВАЖИНАХ ПЛОСКИМИ ШТАМПАМИ

Полевые испытания нагружением плоских штампов диаметром 865 мм Марслэнд и Рэндольф [2] проводили в скважинах диаметром 900 мм на глубинах 6,1; 12,2; 18,3 и 24,4 м от поверхности земли.

Оборудование было спроектировано таким образом, чтобы свести к минимуму время, необходимое для установки систем нагружения и измерения осадок. Для проходки скважины диаметром 900 мм до примерно 600 мм выше глубины испытания применялся спиральный шнековый бур, а для извлечения остатка грунта использовался плоскодонный трубчатый бур со шнековым наконечником (ковшовый бур) с целью получения скважины с плоским дном. Рыхлая глина и ее торчащие участки удалялась из забоя скважины вручную при всех испытаниях, а для некоторых из них со дна скважины дополнительно удалялась глина с помощью острой лопаты и ручного скребка. Как только завершалась очистка дна скважины, по нему распределялся слой высокопрочной гипсовой штукатурной смеси толщиной 15–20 мм и на него аккуратно укладывался нагружаемый штамп. Среднее время между завершением бурения и началом штампового испытания составляло около 40 минут, если вручную удалялся только рыхлый материал. Если же со дна скважины дополнительно удалялась глина путем ручного рытья, этот интервал составлял около 80 минут.

Об осадке штампа судили на поверхности с помощью независимой ненагруженной контрольной колонны труб диаметром 100 мм. Для измерения осадки использовались приборы с круговой шкалой, прикрепленные к 12-метровой опорной штанге, конец которой упирался в ролики, вделанные в бетонные блоки, которые, в свою очередь, находились на отдельных вибропоглощающих бетонных фундаментах, достаточно удаленных от обеих работающих на растяжение свай и от испытательной скважины.

Во время испытания на нагрузку домкрат выдвигался с постоянной скоростью 2,5 мм/мин. с использованием многоскоростной гидравлической насосной установки, которая обеспечивала плавное нагружение.

Эти испытания дали кривые «нагрузка – осадка» с достаточно хорошо определяемыми максимумами (например, рис. 1 в первой части [1]). Они не показали каких-либо явных искажений напластования, которые характерны для более мелкомасштабных испытаний (выполненных в скважинах, диаметр которых слишком мал, чтобы обеспечить доступ для ручной очистки дна). В случае удаления из забоя скважины только рыхлой глины наблюдалась небольшая начальная вогнутость кривой «нагрузка – осадка». Если же со дна была вручную выкопана дополнительная глина, то такой начальной вогнутости графика не было.

Всего было проведено 22 испытания в 7 скважинах, причем в 6 случаях было вручную выкопано дополнительное количество глины.

ПРЕССИОМЕТРИЧЕСКИЕ ИСПЫТАНИЯ

Использованная Марслэндом и Рэндольфом [2] прессиометрическая система схематично показана на рисунке 4. Она состояла из радиально расширяющегося зонда, установленного в скважине и соединенного с оборудованием для увеличения давления в полости зонда и с оборудованием для измерения объема (волюметра), расположенным на поверхности земли (рис. 5). Зонд представлял собой полый алюминиевый ствол, окруженный двумя резиновыми мембранами. Внутренняя мембрана, которая формировала измерительную ячейку, имела длину 216 мм и была заполнена водой. Внешняя мембрана длиной 480 мм защищала внутреннюю, а также формировала защитные ячейки на обоих концах измерительной ячейки. Защита наружной мембраны обеспечивалась перекрывающимися продольными полосами из тонкой упругой (пружинной) стали.

Рис. 4. Схема прессиометрической системы [2]

Рис. 5. Детали устройства волюметра и прессиометрического зонда: а –  волюметр, схема передачи и измерения давления; б – частично расширенный зонд (тип G-B) [2]

К внутренней измерительной ячейке зонда (рабочей камере) прикладывалось давление воды через внутреннюю секцию коаксиальной трубки, соединявшей ее с цилиндрическим сосудом с водой под давлением (устройством для измерения объема). Расширение концов наружной мембраны достигалось путем пропускания сжатого газа вниз по внешнему кольцевому участку соединительной трубки. Давление этого газа поддерживалось ниже, чем давление воды в измерительной ячейке, чтобы последняя всегда оставалась в контакте с внешней мембраной. Волюметр емкостью 800 куб. см был разделен на две параллельные трубки с соотношением диаметров 10:1. При нормальной работе вода подавалась из обеих трубок, но при очень небольших изменениях объема выход из большой трубки перекрывался. Вода в волюметре находилась под давлением с помощью газа, подаваемого из цилиндрического сосуда высокого давления через регулирующий клапан. Газ для создания давления в концевых защитных ячейках при немного более низком давлении подавался из регулятора подачи давления в волюметр через второй клапан разности давлений (дифференциальный клапан).

Наружный диаметр зонда в его «спущенном» состоянии составлял 58 мм, при этом длина измерительной ячейки была примерно в 4 раза больше ее диаметра. Защитные концевые ячейки помогали создавать условия, приближенные к плоской деформации в области измерительной ячейки (путем увеличения осевой протяженности поля радиальных напряжений).

До 1 м выше уровня испытания скважина бурилась с обсадной трубой стандартного размера NX с использованием трехшарошечного долота. Ниже пробуривался «карман» для испытания глубиной 1,30 м и диаметром приблизительно 60 мм с помощью трехшарошечного долота размером BX. Прессиометр в испытательный карман устанавливался как можно быстрее, причем с зазором между зондом и дном кармана около 0,15 м. Время между окончанием бурения испытательного кармана и началом первого испытания составляло около 15 минут.

После завершения первого испытания скважина проходилась глубже (до 1 м выше следующего уровня испытания) с использованием долота размером NX с обсадкой, после чего повторялись описанные выше процедуры. Во время бурения скважины 1 в качестве промывочной жидкости использовалась вода, а при проходке скважины 2 к воде примешивалась буровая добавка, чтобы создавать тонкую непроницаемую грязевую корку на стенках кармана по мере бурения и таким образом уменьшать проникновение воды в глину за стенками скважины. Поэтому качество результатов испытаний в скважине 2 было в основном лучше.

Когда зонд опускался в иcпытательный карман скважины до нужного уровня, воде позволяли вытекать из волюметра для накачивания измерительной ячейки в зонде вплоть до соприкосновения центральной части зонда со стенками прессиометрического кармана.

Поскольку скважина была заполнена водой или буровым раствором, испытания начинались при общем давлении, равном γfz, где γf – удельный вес бурового раствора.

Для испытаний на глубинах менее 10 м клапан разности давлений был установлен таким образом, чтобы давление газа, подаваемого в концевые защитные ячейки, было приблизительно на 200 кН/кв. м ниже, чем давление, приложенное к верхней поверхности воды в волюметре.

Для испытаний, проводимых глубже 10 м, давление газа в защитных камерах увеличивалось до тех пор, пока не становилось достаточным, чтобы начать выталкивать воду обратно в волюметр, когда вода в волюметре поддерживалась при атмосферном давлении. Давление газа в защитных камерах затем снижали на 1–200 кН/кв. м с помощью клапана разности давлений. Это гарантировало, что давление газа, подаваемого в защитные ячейки на протяжении всего испытания, поддерживалось намного ниже, чем давление воды, приложенное к измерительной ячейке в зонде.

Приращение давления было выбрано таким образом, чтобы дать на кривой «давление – объем» 15 или 16 точек от начала испытания до тех пор, пока зонд не достигнет своего максимально допустимого расширения (когда радиальная деформация будет около 25%). На практике это означало, что на верхних уровнях глиняной толщи использовались приращения давления 50 кН/кв. м, а на глубинах 10 и 20 м – 100 и 150 кН/кв. м соответственно.

На каждое приращение давления требовалось примерно по 30 секунд. Как только приращение достигалось, для нового давления брались нулевые показания и последующие показания за 15; 30; 60 и 120 секунд до применения следующего приращения давления. Таким образом измеряли кратковременную ползучесть (деформацию), возникающую при каждом давлении. Для каждого давления наносили результаты измерений на график изменений объема, которые происходили между 30 и 120 секундами, чтобы отразить степень имевшей место ползучести. Общее изменение объема измерительной ячейки от начала испытания до конца каждого приращения давления также было нанесено на тот же график. Кривые по данным типичного испытания показаны на рисунке 3, из которого видно, что ползучесть относительно мала для давлений, соответствующих линейной области кривой «p – V», и существенно увеличивается только тогда, когда глина, прилегающая к стенке испытательного кармана, начинает становиться пластичной. Давление, при котором это происходило, Марслэнд и Рэндольф [2] обозначили как pf.

Когда эта стадия достигалась, давление уменьшали путем отрицательных приращений до величины, приближающейся к γfz, используя те же интервалы давления, что и при его повышении.

После этой разгрузки следовал цикл повторного нагружения до давления, соответствующего pf. Показания ползучести не снимались во время процессов разгрузки и повторного нагружения, которые происходили значительно быстрее, чем начальный процесс нагружения, занимая в общей сложности около 15 минут.

Затем были применены дополнительные приращения давления, во время которых проводились измерения ползучести до тех пор, пока зонд не расширялся до его максимально допустимого размера, который был примерно вдвое больше его объема в начале испытания.

Общее время, затрачиваемое на каждый тест, составляло около 1 часа.

Результаты полевых измерений Марслэнд и Рэндольф [2] корректировали следующим образом.

1. Для получения общего давления, действующего на внутреннюю стенку измерительной ячейки, давление, обусловленное высотой напора воды между поверхностью воды в волюметре и уровнем испытания γwH (см. рис. 4), добавляли к давлению газа, приложенному в волюметре к верхней части.

2. Общее давление, действующее на стенку испытательного кармана скважины, представляет собой давление, определяемое первым пунктом, которое при испытаниях было меньше, чем давление, требуемое для растяжения резиновых мембран и металлической защитной оболочки. Калибровочные испытания проводились путем расширения зонда в неограниченном состоянии и построения графика изменений объема в зависимости от давления. Одним из результатов этой коррекции было следующее: даже притом что к волюметру были приложены равные приращения давления газа, приращения давления, действовавшие на грунт, уменьшались с увеличением приложенного давления. Ближе к концу испытания коррекция значительно увеличивалась, и только приблизительно 10–20% от приложенного давления газа было передано на испытываемую глину.

3. Увеличение объема измерительной ячейки было меньше, чем измеренное значение, благодаря расширению волюметра и трубки, соединяющвшей его с датчиком давления. Использование коаксиальной соединительной трубки значительно уменьшило этот эффект, и поправки составляли только около 1 куб. см во всем диапазоне давления. Ошибки, вызванные расширением соединительной трубки и влиянием небольших замкнутых воздушных пузырьков, могут быть измерены путем создания давления в зонде, когда он вставлен в стальную трубу, внутренний диаметр которой немного больше наружного диаметра «спущенного» зонда. Эта процедура также позволяет связать уровни воды в волюметре с соответствующими объемами измерительной секции зонда.

Авторы работы [2] указывают, что калибровку, описанную в пунктах 2 и 3, следует проводить перед каждым испытанием и после последнего испытания в конкретный день.

При указанных испытаниях были приняты процедуры, которые на момент написания статьи использовались в коммерческой практике Великобритании. Однако, с точки зрения авторов статьи [2], несмотря на то что в лондонской глине эти процедуры были вполне приемлемыми, больше внимания можно было бы уделить методам калибровки и контроля давления. Они также указали на необходимость в дополнительных исследованиях влияния скоростей испытаний и метода формирования в скважинах «карманов» для испытаний.

ОЦЕНКА ГОРИЗОНТАЛЬНОГО НАПРЯЖЕНИЯ IN SITU ПО РЕЗУЛЬТАТАМ ПРЕССИОМЕТРИЧЕСКИХ ИСПЫТАНИЙ

Горизонтальное напряжение in situ po оценивалось по результатам прессиометрических испытаний с помощью итерационной процедуры, описанной в первой части статьи (например, рис. 6 [1]). Первоначальная оценка po производилась на основе имевшейся информации об истории уплотнения грунта. Для сильно переуплотненной лондонской глины ожидалось, что коэффициент бокового давления грунта Ko будет существенно больше единицы, и использовалось начальное значение Ko=2,4. Это дало po=452 кН/кв. м. Объем Vo, соответствующий po=452 кН/кв. м, был взят по кривой «p – V», построенной на основе измерений. Была также получена соответствующая кривая «p – logе(ΔV/V)» (здесь авторы работы [2] напоминают, что  ΔV/V=ΔV/(Vo+ΔV)). Значение пиковой прочности на сдвиг, полученное по этой кривой, составило около 180 кН/кв. м. Можно видеть (см. рис. 6, а), что график «p – y1» для этого значения po является линейным при давлении, значительно превышающем (po+cu) (здесь Марслэнд и Рэндольф [2] напоминают, что y1 является нормализованным радиальным расширением ствола скважины, определение которого соответствует формуле (13) в первой части статьи [1]). Этот процесс был повторен для других значений po, показанных на рисунках 6, б, в, где точки, в которых заметное увеличение кривизны стало очевидным, отмечены звездочками. Значение po, для которого такая точка наиболее близко соответствует давлению (po+cu), было выбрано авторами статьи [2] как правильное. В этом случае оно было приблизительно равно 511 кН/кв. м (см. рис. 6, б). Величины po, определенные таким образом, нанесены на график в зависимости от глубины на рисунке 7, а и приведены в столбце 3 таблицы 1.

Рис. 6. Процедура оценки горизонтального напряжения in situ (глубина 13,1 м, скважина 2) [2]

Рис. 7. Изменения общего горизонтального напряжения in situ с глубиной [2]

Таблица 1. Сводка результатов прессиометрических испытаний [2]

Рис. 8. Сравнение модулей, определенных по данным прессиометрических испытаний и испытаний крупными плоскими штампами in situ: а – первичное нагружение; б – цикл повторного нагружения [2]

На рисунке 8 также представлены касательные модули при существующей нагрузке от вышележащих грунтов γsz и секущие модули в диапазоне давлений на грунт от q=γsz до q=γsz+⅓(qu γsz). Последние, как и следовало ожидать, ниже секущих модулей в диапазоне 0–½qu. Имеется также тенденция к уменьшению с глубиной значений на кривой первичного нагружения. Возможно, это является наиболее четким признаком того, что модули, определенные по данным штамповых испытаний на более глубоких уровнях, меньше, чем их истинные значения in situ, в результате расширения, которое происходит в течение периода разгрузки.

Затем Марслэнд и Рэндольф [2] переходят к результатам прессиометрических испытаний. После анализа по Пальмеру (Palmer, 1972), описанного в первой части статьи [1], для определения секущих модулей в подходящем диапазоне напряжений могут быть построены графики зависимости давления от объема в виде кривых « y1» (где y1 – относительное радиальное расширение скважины, равное отношению увеличения ее радиуса из-за роста давления на (ppo) к ее радиусу в исходном состоянии при p=po) на основе прессиометрических кривых. Типичные кривые « y1» представлены на рисунке 9, из которого видно, что деформация изменяется достаточно линейно в диапазоне от pо (что соответствует y1=0) до (pо+cu) (величина cu увеличивается с глубиной примерно от 100 до 200 кН/кв. м, что авторы показывают позже). Это означает, что между касательными и секущими модулями разница мала. Значения касательных модулей сдвига при p=pо, полученные в результате прессиометрических испытаний, показаны на рисунке 8, а.

Рис. 9. Графики «p – y1» при малых деформациях по результатам прессиометрических испытаний в скважине 2 на глубине: а – 7,0 м; б – 13,1 м; в – 19,2 м; г – 25,3 м [2]

Далее авторы статьи [2] сравнили модули сдвига, полученные по результатам штамповых и прессиометрических испытаний. Вторые оказались существенно ниже, чем первые. Ссылаясь на других авторов, Марслэнд и Рэндольф [2] предполагают, что это в значительной степени может быть связано с изменением формы глины на стенках скважины во время бурения и с разупрочнением глины в период разгрузки. Они считают, что циклы повторного нагружения при прессиометрических испытаниях, по-видимому, дают более разумные значения модуля сдвига (см. табл. 1), хотя многие из этих значений все же существенно ниже, чем определенные по результатам штамповых испытаний.

Cсылаясь на других авторов, Марслэнд и Рэндольф [2] указывают, что испытания на той же площадке с использованием самозабуривающегося прессиометра, при которых нарушения грунта значительно меньше, дают значения модуля сдвига, которые выше полученных с помощью стандартного прессиометра. Модули сдвига, определенные по кривой первичного нагружения с использованием указанного более сложного инструмента, сравнимы с таковыми по данным циклов вторичного нагружения (см. табл. 1).

СОПОСТАВЛЕНИЕ ОЦЕНОК НЕДРЕНИРОВАННОЙ ПРОЧНОСТИ НА СДВИГ ПО РЕЗУЛЬТАТАМ ШТАМПОВЫХ И ПРЕССИОМЕТРИЧЕСКИХ ИСПЫТАНИЙ

Недренированную прочность грунта на сдвиг можно оценить по предельной несущей способности, определенной по результатам измерений при нагрузке плоским штампом с использованием уравнений (5) и (8), представленных в первой части статьи [1]. Марслэнд и Рэндольф [2] определяли этот параметр полутвердой лондонской глины по результатам штамповых испытаний с использованием следующего соотношения:

Рис. 10. Сопоставление значений недренированной прочности на сдвиг, определенных по результатам испытаний плоским штампом большого диаметра и прессиометром [2]

Марслэнд и Рэндольф [2] ранее показали, что «идеально-упругопластический» анализ результатов прессиометрических испытаний дает соотношение между эффективным предельным давлением и недренированной прочностью на сдвиг, то есть при известном модуле сдвига по результатам измерений во время повторного нагружения для расчета cu может использоваться уравнение (10) из первой части статьи [1]. Эти величины приведены в столбце 6 таблицы 1. Соответствующая константа прессиометра Np приведена в столбце 9 таблицы 1. Оценки предельного давления pL были получены авторами работы [2] путем экстраполяции графиков зависимости p от loge(ΔV/V) до точки loge(Δ/V)=0 (рис. 11).

Рис. 11. Графики зависимости p от loge(ΔV/V) по результатам прессиометрических испытаний в скважине 2 [2]

Как Марслэнд и Рэндольф [2] уже указывали, оценки модулей сдвига по результатам прессиометрических испытаний могут значительно отличаться от их истинных значений для ненарушенных грунтов. По этой причине и ввиду простоты уравнения (26) они сочли, что более надежная оценка недренированной прочности на сдвиг может быть получена с помощью уравнения (10) из первой части статьи [1] с использованием единственной величины Np=6,18 в соответствии со значением постоянной для штамповых испытаний Nc=9,25 (см. уравнение (12) из первой части [1]). Таким образом, недренированная прочность на сдвиг определяется следующей формулой:

Рис. 12. Кривые «напряжение – деформация» по данным прессиометрических испытаний в скважине 2 [2]

Далее авторы статьи [2] сопоставили величины недренированной прочности на сдвиг, оцененные по результатам прессиометрических и штамповых испытаний. Значения сu, определенные по данным прессиометрических тестов с использованием уравнения (26), превысили значения, найденные по результатам испытаний крупным штампом с помощью уравнения (25). Эти величины приемлемо согласуются для выветрелой коричневой глины и верхней части голубой глины. Однако на большей глубине различия становятся более сильными. Так, на глубине 24 м значения, определенные с помощью прессиометра, примерно вдвое превышают величины, полученные при штамповых испытаниях.

Марслэнд и Рэндольф [2] считают, что разница между значениями, определенными по результатам этих двух типов испытаний, тесно связана с расстоянием между трещинами и их ориентацией по отношению к направлению нагрузки и размеру нагрузочного устройства. На небольших глубинах трещины близко расположены друг к другу и ориентированы в широком диапазоне направлений. Но с глубиной расстояние между трещинами увеличивается, причем глубже примерно 20 м наблюдается тенденция к преимущественно горизонтальному и вертикальному их простиранию.

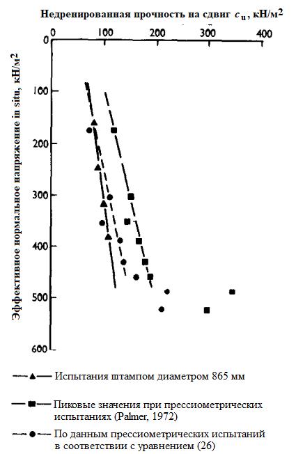
Авторы работы [2] предполагают, что, поскольку лондонская глина сильно переуплотнена, причем с более высокими горизонтальными напряжениями по сравнению с вертикальными, ее прочностные свойства будут демонстрировать некоторую степень анизотропии. Ссылаясь на данные Бишопа (Bishop, 1966), Марслэнд и Рэндольф [2] пишут, что, как показало большое количество трехосных испытаний лондонской глины, анизотропия ее структуры и напряжений in situ оказывает заметное влияние на прочность, определенную по результатам измерений. Поскольку в исследованном Марслэндом и Рэндольфом случае [2] горизонтальные напряжения были больше вертикальных, простой интуитивный подход, основанный на проскальзывании друг относительно друга фрикционных блоков, приведет, по их мнению, к более высоким значениям прочности по данным прессиометрических испытаний, чем по результатам штамповых тестов. Этот эффект проиллюстрирован на рисунке 13, где показаны зависимости недренированной прочности на сдвиг от соответствующих эффективных нормальных напряжений in situ.

Рис. 13. Сопоставление величин недренированной прочности на сдвиг, нанесенных на график в зависимости от эффективного нормального напряжения in situ [2]

Для прессиометрических тестов авторами работы [2] использовалось эффективное горизонтальное напряжение in situ, равное Kо(γszu), в то время как для штамповых испытаний применялось значение ½(1+Kо)(γszu), находящееся посередине между горизонтальным и вертикальным эффективными напряжениями.

Как указывают Марслэнд и Рэндольф [2], кривые для прочностей, определенных по данным и прессиометричеких, и штамповых испытаний с использованием упругопластических теорий (см. рис. 13), очень близки друг к другу, за исключением глубоких уровней, где преобладает влияние структуры глины. Они отмечают, что эта тесная согласованность может в какой-то степени быть случайной, но все же она предполагает плодотворное направление исследований в дальнейшем.

Авторы работы [2] обращают внимание читателей на то, что пиковые значения прочности на сдвиг, определенные с помощью анализа по Пальмеру (Palmer, 1972), рассмотренного в первой части статьи [1], как правило, значительно выше величин, полученных по предельным давлениям с использованием уравнения (26) (см. таблицу 1). И эти различия в основном связаны с низким уровнем деформации, при котором измеряются максимальные значения прочности, по сравнению с максимальной деформацией, достигаемой ближе к концу испытания. Марслэнд и Рэндольф [2] предполагают, что к тому времени, когда зонд полностью «накачан», сдвигу подвергается намного больший объем глины. Пиковые прочности на сдвиг, определенные по кривым «напряжение – деформация», соответствуют значениям прочности, найденным при мелкомасштабных испытаниях, которые приближаются к прочности неповрежденной глины между трещинами. Такой же эффект наблюдался Марслэндом при более ранних его исследованиях (Marsland, 1971a, 1971b, 1974), когда он сравнил прочности, определенные на основе лабораторных испытаний небольших образцов, стандартных статических испытаний на внедрение в грунт конического зонда (CPT) и крупномасштабных штамповых испытаний in situ. В переуплотненных глинах, как предполагают авторы работы [2], форма полной кривой «напряжение – деформация», полученной с помощью анализа по Пальмеру (Palmer), будет чувствительна к размеру зонда прессиометра по отношению к структуре глины.

ПРЯМОЕ СРАВНЕНИЕ СОСТОЯНИЙ ПОТЕРИ УСТОЙЧИВОСТИ И РЕЗУЛЬТАТОВ ПРЕССИОМЕТРИЧЕСКИХ ИСПЫТАНИЙ

Авторы работы [2] отмечают, что значения недренированной прочности на сдвиг, определенные на основе идеально-упругопластического анализа результатов штамповых и прессиометрических испытаний, представляют собой некую форму эквивалентной прочности по данным измерений в некотором диапазоне деформаций. По их мнению, эти значения лучше всего подходят для использования при проектировании фундаментов и нагрузок свай на основания.

Далее Марслэнд и Рэндольф [2] описывают более прямой подход, который позволяет связать несущую способность фундамента непосредственно с предельным давлением, измеренным с помощью прессиометра. Они приводят эмпирическую зависимость, предложенную Менардом (Menard, 1963):

где qu – «предельная» несущая способность фундамента, полученная по данным измерений при осадке 10% от его ширины или диаметра; qo – вертикальное давление вышележащего грунта, равное γsz; pL – среднее предельное прессиометрическое давление на данной глубине; po – горизонтальное давление грунта in situ на соответствующей глубине; K – так называемый коэффициент опирания, зависящий от типа грунта и формы фундамента.

При объединении уравнений (5) и (10) и подстановке значений Nc=9,25 и Np=(pLpо)/cu=6,18 авторы статьи [2] получили следующую формулу:

Марслэнд и Рэндольф [2] отмечают, что значение K=l,5 в формуле (28) ниже, чем величина K=1,8, предложенная Менардом для основания буронабивной сваи в связном грунте, даже несмотря на то что эмпирическое значение Nc=9,25, полученное при испытаниях крупным штампом, было основано на максимальных давлениях на основание, которые имели место при осадках, эквивалентных примерно 15% от диаметра штампа. А значения K, определенные по соотношениям (quqо)/(pLpо), найденным на основе штамповых и прессиометрических испытаний, еще ниже. Они уменьшаются с 1,25 на глубине 6,1 м до 0,75 на глубине 24,4 м. Эти результаты Марслэнд и Рэндольф [2] свели в таблицу 2, которая подчеркивает необходимость осторожности при определении соотношений результатов для двух разных видов потери устойчивости с помощью эмпирического коэффициента. Этот коэффициент, вероятно, будет значительно варьировать для разных типов грунта, а для такого материала, как лондонская глина, он также будет зависеть от анизотропии грунта и размера зонда прессиометра относительно структуры глины.

Таблица 2. Эмпирическая зависимость между критическим давлением штампа на основание и предельным прессиометрическим давлением [2]

ВЫВОДЫ

Итак, Марслэнд и Рэндольф [2] сопоставили оценки недренированной прочности на сдвиг и модулей деформации полутвердой трещиноватой лондонской глины, полученные на основе прессиометрических испытаний с использованием зонда диаметром 60 мм и на основе испытаний штампом диаметром 865 мм на глубинах до 24 м. Испытания штампом деформируют объем грунта, который содержит достаточное количество трещин и других ослабленных плоскостей для полномасштабных испытаний. Авторы работы [2] подчеркивают, что оценки величин недренированной прочности на сдвиг и модулей сдвига по результатам этих тестов особенно хорошо подходят для проектирования фундаментов. Эти значения они использовали в качестве основы для оценки прессиометра как инструмента, необходимого для проектных работ.

Сравнения, выполненные Марслэндом и Рэндольфом [2], показали следующее.

1. Значения недренированной прочности на сдвиг, определенные по предельным давлениям, полученным при прессиометрических испытаниях, лучше всего согласуются с величинами, найденными при испытаниях крупным штампом. Но даже в этом случае прочности, определенные при прессиометрических испытаниях, выше, чем при крупномасштабных штамповых тестах. Отношение «прессиометрической» прочности к «штамповой» увеличивается с глубиной примерно от 1,0 на глубине 6 м до 1,5 на глубине 18 м и достигает 2,0 на глубине 24 м. Авторы работы [2] сочли, что большие различия на глубоких уровнях обусловлены главным образом небольшим диаметром прессиометрического зонда по сравнению с расстояниями между трещинами и другими неоднородностями в грунте. Этим различиям также способствуют анизотропия структуры лондонской глины и более высокие горизонтальные эффективные напряжения в ней по сравнению с вертикальными. Марслэнд и Рэндольф [2] считают, что для последнего фактора можно приблизительно принять, что недренированная прочность на сдвиг пропорциональна нормальному эффективному напряжению in situ вдоль потенциальных плоскостей сдвига. Они также подчеркивают, что влияние масштаба может быть преодолено только с помощью зондов гораздо большего диаметра.

2. Пиковые значения недренированной прочности на сдвиг, определенные непосредственно по наклону кривых «p – loge(ΔV/V)» с использованием авторами статьи [2] анализа типа анализа Пальмера (Palmer), заметно выше определенных по предельным давлениям. Отношения этих пиковых значений к прочностям, определенным при штамповых испытаниях, увеличиваются примерно с 1,4 на глубине 6 м до 2,0 на глубине 20 м, а еще глубже они превышают 3,0. Эти ощутимо большие различия возникают потому, что при низких напряжениях сдвигу подвергается очень маленький объем грунта (при таких низких напряжениях максимальная прочность на сдвиг развивается в грунте рядом с зондом). Как следствие, пиковые величины, определенные этим методом, приближаются к прочности ненарушенного материала между трещинами, которая выше, чем «крупномасштабная» прочность.

3. Значения pо не могут быть измерены непосредственно с помощью прессиометров, установленных в предварительно пробуренных скважинах. Тем не менее с помощью новой итерационной процедуры Марслэнд и Рэндольф [2] получили оценки pо, приемлемо согласующиеся с величинами, определенными другими авторами на основе данных лабораторных испытаний и путем прямых измерений с использованием самозабуривающихся прессиометров. Процедуры, обычно используемые для оценки значений pо по кривым «p – V», полученным при прессиометрических испытаниях, серьезно занижают истинные величины pо. Хотя значения pL не подвержены значительному влиянию величин pо и соответствующих Vо, значения cu, определенные обоими методами, зависят от достоверности оценок pо или Vо.

4. Для получения достаточно достоверных оценок предельного давления pL необходимо увеличить (расширить) объем прессиометра примерно вдвое по сравнению с его первоначальным объемом.

5. Предельные давления, измеряемые с помощью прессиометра, могут быть напрямую связаны с предельной (критической) несущей способностью фундамента путем выбора подходящих величин коэффициента K из уравнения (27). Для однородной изотропной полутвердой глины теоретическое значение K приблизительно составляет 1,5. Однако для полутвердых трещиноватых глин величина K также зависит от структуры глины. В случае лондонской глины эмпирическое значение K составляет около 1,25 у поверхности и уменьшается с глубиной до 0,75 на уровне минус 24 м.

6. Модули сдвига, определенные Марслэндом и Рэндольфом [2] с помощью прессиометрических испытаний, были существенно ниже полученных при испытаниях штампами (особенно для величин, определенных при первичном нагружении). Это вместе с большой разницей между величинами, полученными при первичном и при повторных нагружениях, показывает, что во время бурения и введения зонда происходит значительное ослабление грунта на стенках скважины. Модули, найденные для циклов повторного нагружения, гораздо ближе к величинам, определенным при штамповых испытаниях. Важность этого эффекта была подтверждена испытаниями других исследователей с использованием самозаабуривающихся прессиометров, где значения G, определенные по данным для циклов первичного нагружения, были сравнимы с величинами, найденными при штамповых испытаниях.

РЕКОМЕНДАЦИИ

На основе сделанных выводов авторы статьи [2] выработали следующие рекомендации.

1. Прочности на сдвиг, полученные в результате прессиометрических испытаний полутвердых глин, следует определять по предельным давлениям с использованием идеально-упругопластической теории. Чтобы получить прочности, подходящие для проектирования опор и фундаментов, эти значения должны быть уменьшены путем умножения на коэффициент, который зависит от характера и масштаба структурных элементов глины относительно размера и ориентации зонда прессиометра.

2. Для прессиометрических испытаний, проводимых в предварительно пробуренных скважинах в полутвердой глине, в качестве основы для проектирования разумно принять значения модулей сдвига, определенные по циклам вторичного нагружения.

3. Необходимо провести детальное сравнение между результатами прессиометрических тестов и испытаний крупными штампами in situ в широком диапазоне типов глин. Важно, чтобы эти сравнения проводились по всей глубине грунтовых массивов, которая может испытывать влияние нагрузки от фундаментов. Эмпирические зависимости, полученные по данным испытаний в выветрелой глине на небольших глубинах, редко применяются к глине на более глубоких уровнях. Сравнения между результатами прессиометрических тестов, других мелкомасштабных испытаний in situ и лабораторных испытаний переуплотнренных глин могут очень сильно вводить в заблуждение из-за значительных масштабных эффектов.

4. Следует провести детальное исследование влияния увеличения размера зонда в широком диапазоне типов грунтов. Использование более крупных зондов должно уменьшить разницу между значениями, определенными при прессиометрических тестах и при испытаниях крупными штампами in situ.

5. Поскольку скорость нагружения будет влиять на результаты и прессиометрических тестов, и испытаний крупными штампами, в будущем важно провести изучение этого эффекта.

15 Сентябрь 2021
Комментарии
Читайте также
Статья-ответ доктору А.С. Алешину. Еще раз о сейсмическом микрорайонировании. Часть 3
Создание высотного украшения Миланской площади в Штутгарте с помощью PLAXIS 3D от Bentley
Моделирование и расчеты в PLAXIS. Осадки грунтов при строительстве систем из трех тоннелей с различной последовательностью проходки
Стрелка вверхнаверх
Удалить пост?
Пост будет удален полностью и его нельзя будет востановить
Закрыть
Ссылка скопирована Закрыть
Главная страница
Главная
Новости
Новости
Меню
Ещё
  • Поделиться
Поделиться
  • Скопировать ссылку