Оценка влияния, или геотехнический прогноз, – одна из самых сложных и в то же время часто встречающихся задач при строительстве подземных сооружений в больших городах. Активность строительства метро, особенно в Москве, очень высока. Прокладка линий метро оказывает влияние на окружающую застройку – и поэтому проектные организации должны выполнять соответствующие подтверждающие расчеты.
Развитие механики грунтов и геотехнического программного обеспечения позволяет сегодня решать динамические задачи во все более сложных постановках с учетом различных особенностей поведения грунтов и способов приложения динамической нагрузки. В том числе разработчики программного комплекса PLAXIS активно совершенствуют его интерфейс в части улучшения и облегчения работы по созданию сложных расчетных схем, особенно для тоннелей. Например, в последней версии V21, которая вышла в конце января 2021 года, был существенно улучшен импорт геометрии тоннелей в двумерной и трехмерной постановках.
В качестве примера практического применения PLAXIS при решении подобных задач предлагаем вниманию читателей обзор материалов доклада «Трехмерное моделирование вибраций земной поверхности, вызванных движением поезда метро» [1] сделанного в 2016 году на 11-м Международном симпозиуме по теории пластичности и контактной механике (Implast 2016). Его авторы Д.В. Сингх и Й. Сет на тот момент были выпускниками бакалавриата и будущими студентами магистратуры факультета гражданского строительства Индийского технологического института города Дели. Этот доклад был опубликован всемирно известным издательством Elsevier в журнале Procedia Engineering в 2017 году.
Сингх и Сет основали свою работу [1] на аналитическом решении для распределения воздействий колесных пар на рельсы по отношению к движущейся системе отсчета, которое в 2007 году выполнили Коррейя с соавторами (Correia et al.) в двумерной постановке. Индийские исследователи [1] использовали это распределение сил для анализа методом конечных элементов в программном комплексе PLAXIS 3D. В пакете прикладных программ MATLAB авторы доклада [1] разработали программу для формирования матрицы динамических коэффициентов для каждой статической точечной нагрузки, приложенной вдоль рельсового пути на каждом временном шаге. Величина приложенной нагрузки равна нагрузке от колесной пары на рельсы, полученной в результате решения задачи по изгибу балки на упругом основании Винклера при перемещении нагрузки. Полученные результаты могут быть использованы для оценки влияния изменений различных геологических и физических параметров на распределение сил при нагрузках от колесных пар. После калибровки по геотехническим и физическим данным, которые соответствуют участкам над реальными рельсовыми путями метро, полученную модель можно использовать для прогнозирования воздействия вибраций на существующую инфраструктуру.
Отметим, что в предлагаемом обзоре надписи на копиях рисунков не переводились на русский язык, поскольку это не позволено лицензией, по которой статья [1] находится в открытом доступе.
Обзор написан при поддержке и с комментариями сотрудников компании «НИП-Информатика» – партнера журнала «ГеоИнфо».
Быстро растущая численность населения требует все более эффективного общественного транспорта, в связи с чем значительно усилилось внимание прежде всего к метро. Однако строительство сетей подземного транспорта является наиболее сложным, особенно если они предназначены для интенсивного высокоскоростного движения.
При проектировании таких систем требуются обширные предварительные исследования, испытания и комплексный анализ с учетом динамического поведения грунтов. И здесь большое значение имеет правильное моделирование всей системы транспортного сооружения с учетом поведения рельсового пути, насыпных грунтов и окружающего грунтового массива, особенно при нагрузках от движущихся поездов метро.
Проблемы взаимодействия «грунт – сооружение» при проектировании рельсовых путей являются одними из самых сложных для анализа. Расчетные схемы при этом должны охватывать: многоосные нагрузки от множества колесных пар, различающиеся по величине и частоте; деформируемые рельсы, прикрепленные к деформируемым шпалам гибкими скреплениями; расстояние между шпалами, которое можно изменять; свойства и толщину балласта и земляного полотна (если они предусмотрены); свойства подстилающих слоев грунтового основания.

Рис. 1. Распределение единичной нагрузки, соответствующее оси каждой колесной пары [1]. По оси абсцисс – время (c), по оси ординат – усилие (ед. изм. авторы доклада [1] не указали)
Суммарный эффект от всех колесных пар получается с использованием принципа наложения (суперпозиции):

Рис. 2. Модель двойной системы тоннелей в массиве грунта, полученная в PLAXIS 3D. Размеры указаны в метрах
Каждое рельсовое скрепление, заданное при моделировании как элемент «межузловой анкер» (node-to-node anchor), характеризовалось следующими тремя основными параметрами: максимальная сила растяжения 312 кН; максимальная сила сжатия 1716 кН; осевая жесткость 2*106 кН.
При работе в PLAXIS 3D индийские исследователи [1] использовали три вида конститутивных (определяющих) моделей: линейно-упругую (Linear Elastic), Мора – Кулона (Mohr-Coulomb) и упрочняющегося грунта при малых деформациях (Hardening Soil Small) (авторы доклада [1], видимо, ошибочно пишут для слоя песка то просто о модели упрочняющегося грунта, то о модели упрочняющегося грунта при малых деформациях, но, судя по всему, во всех случаях имеется в виду второе. – Ред.).
Самый верхний слой, сложенный песком, моделировался с помощью модели упрочняющегося грунта при малых деформациях. Средний слой, сложенный песчаной глиной (суглинком), – с использованием линейно-упругой модели. А самый нижний слой, сложенный глиной, – с помощью модели Мора – Кулона. (Сложно предположить, чем вызван такой выбор. В статье [1] не приводится описание исходных данных по грунтам и обоснование выбора моделей грунта. По всей видимости, все зависело от имевшихся данных испытаний. Следует отметить, что для таких задач действительно предпочтительнее использовать модель упрочняющегося грунта при малых деформациях (Hardening Soil Small), которая «умеет» повышать жесткость при малых деформациях. – Ред.)
Свойства различных слоев грунта, которые были использованы индийскими исследователями [1] при моделировании, приведены в таблице.
Таблица. Свойства слоев грунта, использованные авторами доклада [1] при моделировании

Рис. 3. Нагрузка от поезда, движущегося со скоростью 90 км/ч [1]. По оси абсцисс – время (c), по оси ординат – нагрузка, кН
Сингх и Сет [1] указывают, что полученные ими результаты могут быть использованы для качественной оценки изменений вертикальной составляющей и пиковой скорости колебаний частиц грунта (пиковой виброскорости частиц грунта – PGV) для проверки математических упрощений и последующих допущений, а также для калибровки рассматриваемого профиля грунта до глубины, где требуется прогноз этих факторов.
После калибровки предлагаемую модель в PLAXIS 3D можно использовать для прогнозирования осадок, PGV и других важных параметров, которые необходимо учитывать, при моделировании условий на рассматриваемом участке.
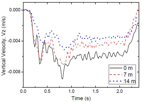
На рисунке 4 показаны полученные авторами доклада [1] изменения вертикальной составляющей виброскорости частиц грунта в зависимости от высоты над сводом тоннеля, а на рисунке 5 – изменения вертикальной составляющей виброскорости на поверхности земли во времени в зависимости от расстояния от свода тоннеля до дневной поверхности. Эти графики можно использовать для анализа воздействия вибраций поверхности земли, вызванных движением поездов метро, на инженерные объекты и для прогнозирования вероятных повреждений этих объектов, вызванных работой метрополитена.

Рис. 4. Изменения вертикальной составляющей виброскорости частиц грунта в зависимости от высоты над сводом тоннеля [1]. По оси абсцисс – вертикальная составляющая виброскорости (мм/c), по оси ординат – высота над сводом тоннеля (м)

Рис. 5. Изменения вертикальной составляющей виброскорости на поверхности земли во времени в зависимости от расстояния от свода тоннеля до дневной поверхности (0; 7; 14 м) [1]. По оси абсцисс – время (c), по оси ординат – вертикальная составляющая виброскорости Vz (м/c)
Таким образом, авторы доклада [1] оттолкнулись от подхода с двумерным математическим моделированием, представленного Коррейя с соавторами (Correia et al.), и расширили его до трехмерного, чтобы сформировать матрицу динамических коэффициентов (dynamic multiplier matrix). Такая матрица импортируется в PLAXIS для точного моделирования условий с подвижными нагрузками, создаваемых движущимися поездами метро. Различные параметры можно получить непосредственно путем расчетов в PLAXIS.
По итогам своей работы [1] Сингх и Сет сделали вывод об эффективности выполнения ими 3D-моделирования на основе метода конечных элементов для решения поставленных задач.